Investigaciones del agua R.A.I.L.
W 1984 roku zostałem uzdrowiony wodą z Lourdes. Byłem sparaliżowany, jeździłem na wózku inwalidzkim, a dziś prowadzę badania struktury tej wody. Czy to tylko zbieg okoliczności? Sam się nad tym zastanawiam.
30 lat później, w 2013 roku spotkałem dr Masaru Emoto, wybitnego specjalistę od badania struktury wody. Jego badania wykazały, że woda reaguje na otaczający nas świat, rozpoznaje słowa, myśli, odróżnia dobro od zła, rozpoznaje naszą wiarę, a nawet przewiduje przyszłe wydarzenia. Czy tak jest na pewno? Po raz pierwszy wtedy ujrzałem strukturę wody z Lourdes…
Chciałbym pójść parę kroków dalej tym tropem, choć nie jestem naukowcem. Seria badań, które prowadzimy pozwala nam jeszcze bliżej wniknąć w świat wody i zrozumieć, co woda chce nam przekazać.
Zapraszam w tę podróż w nieznane…


Descripción del dispositivo y la metodología de las investigaciones
Do pomiarów wykorzystano system składający się ze skaningowego kalorymetru różnicowego (DSC) z kompensacją mocy Pyris 1 DSC oraz urządzenia chłodzącego Intracooler 2P firmy Perkin-Elmer (USA).
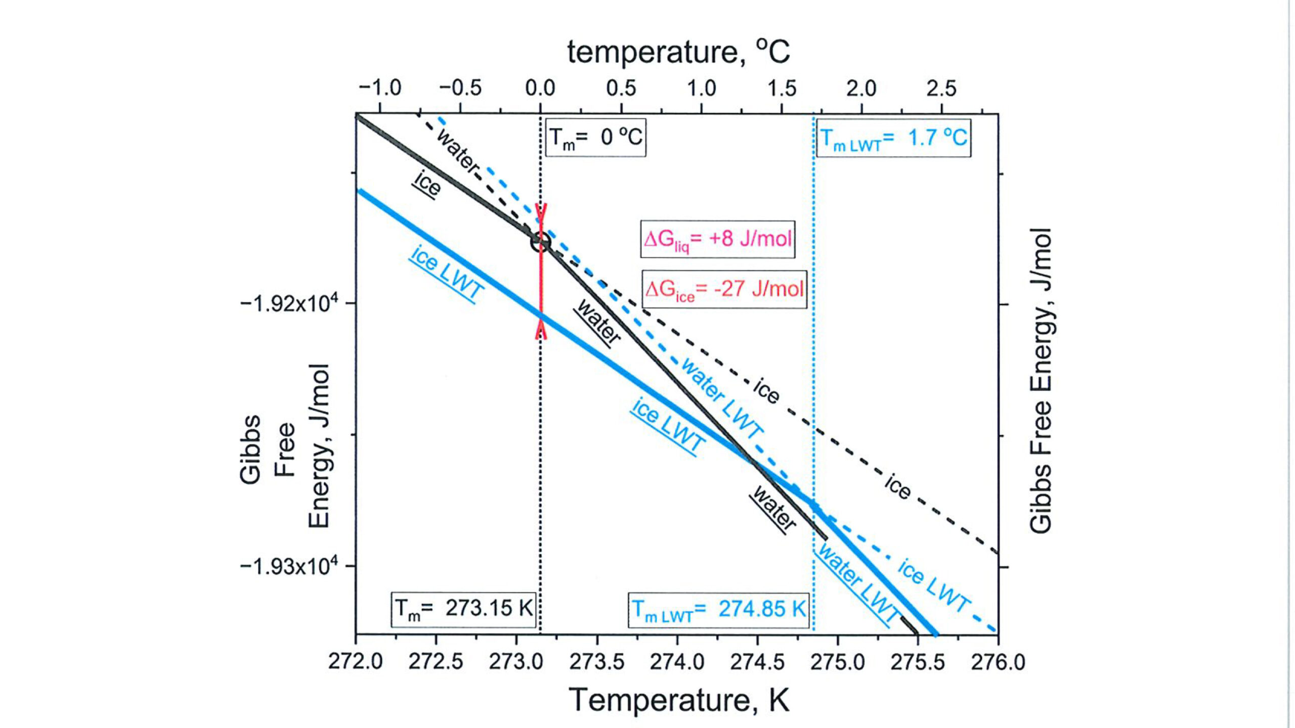
Szczegółowe, systematyczne badania przeprowadzone w jednej z cenionych i doświadczonych polskich instytucji badawczych ujawniły i jednoznacznie potwierdziły istnienie nieusuwalnego wpływu Podstawki LWT na wybrane fundamentalne i niezwykle istotne z punktu widzenia życia na Ziemi właściwości fizyczne wody – właściwości termiczne.
Najbardziej wyjątkowym nieoczekiwanym efektem działania podstawki LWT na wodę jest podwyższenie energii swobodnej Gibbsa (potencjału termodynamicznego) wody w stanie ciekłym.
Cambio del calor específico del agua sometida a la influencia de la Base Activa
1.Temperaturę topnienia lodu „LWT” jako 1,7 oC (274,85 K), wartość z literatury dla topnienia lodu to 0 oC (273,15 K),
2.Ciepło topnienia lodu „LWT” na poziomie 325,84 J/g (niższe o 2,4 % w stosunku do wartości z literatury to 333,85 J/g),
3.Ciepło właściwe wody ciekłej „LWT” na poziomie 3,98 J/gK, niższe o średnio 2,6 % w stosunku do Cp wody wyjściowej (4,09 J/gK) oraz ciepło właściwe lodu „LWT” niższe o średnio 3,2 % w stosunku do Cp lodu z wody wyjściowej, przykładowo odpowiednio 1,92 J/gK względem 1,98 J/gK w 273,15 K.


Influencia del agua estructurada
en los eritrocitos de la sangre humana
La sangre de la persona examinada fue analizada inicialmente con un microscopio de campo oscuro,
sin la influencia del dispositivo de revitalización de agua ALIA, y además del color oscuro de la sangre,
también muestra una ralentización en el flujo sanguíneo, lo que indica una falta de oxígeno en el tejido y
acidosis en la sangre. Esto se observa con mucha claridad en la «concentración de eritrocitos».
Los glóbulos rojos se agrupan entre sí y por lo tanto permanecen inmóviles.
Los cúmulos de concentración de glóbulos rojos son causados por un exceso de radicales libres o por acidosis sanguínea.
Esto también puede ser provocado por la contaminación electromagnética.
Esto altera la viscosidad de las membranas de los glóbulos rojos, causando su aglutinación.
La presencia de tales formaciones indica que el organismo no se encuentra en buen estado.
Cambio
Se volvió a extraer y analizar la sangre. En realidad, cuando la sangre fue tomada
se pudo detectar un cambio claro en el color de la sangre hacia un rojo brillante, lo que inmediatamente
indica un aumento en el contenido de oxígeno en la sangre. Anteriormente, la oxigenación de la sangre solo era posible
mediante una terapia de ozono mucho más compleja.
La influencia positiva aquí presentada del dispositivo de armonización del agua ALIA sobre la sangre
de un organismo vivo ofrece un enorme tesoro de posibilidades para la regeneración de las personas y del medio ambiente,
con el fin de armonizar los alimentos y las plantas. Los efectos de la contaminación electromagnética también pueden
ser compensados. En el futuro, estudios detallados sobre el crecimiento de las plantas, la regeneración de enfermedades
y la regeneración de todas las aguas de esta tierra proporcionarán una visión precisa de las conexiones,
que también se establecen en el microcosmos y el macrocosmos mediante
la reestructuración del agua en el sentido del orden natural.



